服务热线
025-58906079
18066052887
(3R)-哌啶-3-甲腈盐酸
2-氟-3-甲基磺酰基吡啶
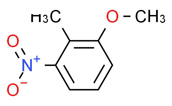
2-甲基-3-硝基苯甲醚
6-氨基-1-茚酮
5-氨基-2-甲基-2,3-二氢哒嗪-3-酮
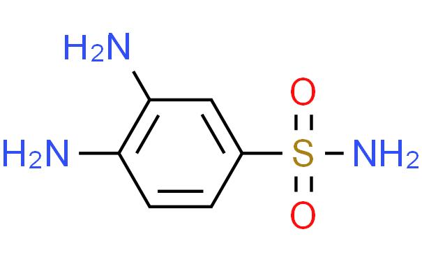
3,4-二氨基苯磺酰胺
2-乙炔基-5-己基噻吩
2-氟-55-(甲硫基)吡啶
对甲苯磺酸脂-3-氧基环丁基氨基甲酸叔丁酯
聚苯乙烯磺酸
(E)-3-(3,5-二氟-4-甲酰基苯基)丙烯酸甲酯
2,3-二氟-5-硝基苯甲酸
三己基硅酞菁
3-溴-4-羟基苯甲醇
6-溴咪唑并[1,2-A]嘧啶-3-羧酸乙酯
4-甲基苯并[d]恶唑-2(3H)-酮
(R)-2-(甲氨基)-2-苯基乙醇 / N-甲基-D-苯甘氨醇
4-bromopentane-2,3-dione
4-溴-7-氟异喹啉
顺式-(1-苄基吡咯烷-3,4-二基)二甲醇
3-[1-(二甲基氨基)乙基]苯酚
2-甲基-6-丙氧基吡嗪
1-异丙基哌嗪
3-氯氟苯
烟酰胺腺嘌呤双核苷酸
2-(4-异丙基-1H-1,2,3-三唑-1-基)乙酸
6-甲氧基-4-甲基烟醛
N,N-双(羧甲基)-L-赖氨酸
1,2,4-三氮唑
4,6-二氯-1-异丙基-1H-吡唑并[3,4-D]嘧啶
MI-503
(2S,5R)-6-(苄氧基)-7-氧代-1,6-二氮杂双环[3.2.1]辛烷-2-羧酰胺
4-溴-2-氯-6-氟苯甲酸甲酯
5-硝基-7H-吡咯并[2,3-D]嘧啶-4-醇
沃诺拉赞
4-溴-6-氯-3-哒嗪酮
4-(1-金刚烷基)-2-硝基苯酚
版权所有 © 2023 南京毕科生物科技有限公司 苏ICP备2024061905号-1