服务热线
025-58906079
18066052887
3-溴-5-甲氧基苯甲酸
5-溴间苯二甲酸二甲酯
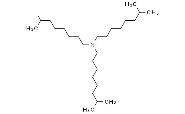
TRIISONONYLAMINE
2-(piperidin-4-ylmethoxy)pyridine
4-溴-3-羟基苯甲酸甲酯
2-(2-氟苯基)-2-甲基丙-1-醇
邻甲基苯乙胺盐酸盐
头孢呋辛钠
3-氧代己二酸
ε-己内酯
2-氟-56-(甲硫基)吡啶
3-羟基-2-甲基吡啶
6-氟-2-甲基-5-硝基喹啉
8-甲基喹啉-6-醇
(R)-(+)-N,N-二甲基-1-苯乙胺
6-氨基吲哚-4甲酸甲酯
3,4-二甲基-1H-吡咯-2-羧酸乙酯
4-溴-6-甲氧基吲哚
氰乙酸乙氧基乙酯
3-氯-5-硝基苯甲醛
硫酸氯吡格雷
3,4-二氨基呋扎
6-(对甲苯胺基)-2-萘磺酸钠
4-溴-2-(甲基磺酰基甲基)吡啶
1,4-二氮杂螺[5.5]十一烷-3-酮
8-溴-2,4-二氯-6-甲氧基喹唑啉
三氯乙酰异氰酸酯
苯并呋咱-5-羧酸
N-{5-溴咪唑并[1,2-a]吡啶-2-基}氨基甲酸叔丁酯
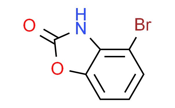
4-溴苯并[d]噁唑-2(3H)-酮
5-(戊烷-3-基氧基)-7-氧代-双环[4.1.0]庚-3-烯-3-羧酸乙酯
邻氯苯酚
2-乙基-4-甲基咪唑
2,3,6-三溴苯胺
头孢他啶二盐酸盐
1.5-二溴戊烷
版权所有 © 2023 南京毕科生物科技有限公司 苏ICP备2024061905号-1