服务热线
025-58906079
18066052887
2-[(1H-吡咯并[2,3-B]吡啶-5-基)氧基]-4-氟苯甲酸甲酯
1,2,3,5-四氢-6-甲基二环戊二烯并苯
5-溴-2-甲氧基苯甲醛
(S)-(-)-2-溴-1-α-甲基苯甲醇
2-咪唑甲醛
5-(4-氯苯基)嘧啶-4-胺
氯羟柳胺
2,6-二氟吡啶-3-硼酸
4-羟基壬烯醛
6-甲氧基-1-萘满酮
1.4二氯2丁炔
8-iodo-2,4-dichloro-6-methylquinazoline
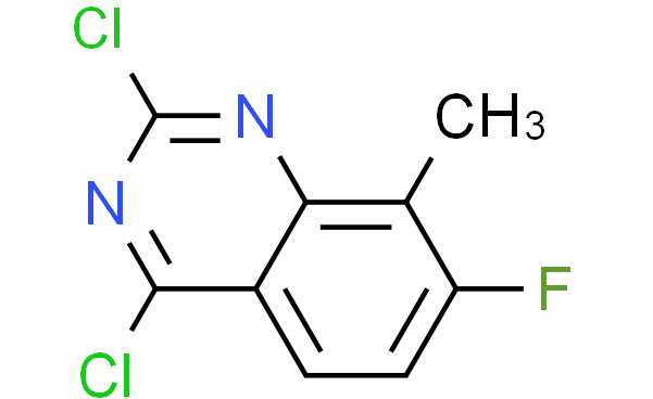
2,4-二氯-7-氟-8-甲基喹唑啉
5-氟-2-(三丁基锡)吡啶
5-羟基-吡唑-3-甲酸甲酯
(2S,5R)-苄氧胺基哌啶-2-甲酰胺
3-乙酰氨基-2-甲基苯甲酸甲酯
乙酰恩格列净
5-溴-2-(甲基氨基)苯胺
4-羟基-7-甲氧基-6-喹啉羧酸
((1R,4R)-4-(二甲氨基)环己基)氨基甲酸叔丁酯
3,5-二溴乙苯
4-(3-溴苯基)-6,8-二氯-2-甲基-1,2,3,4-四氢异喹啉盐酸盐
3-三氟甲氧基-4-溴苯腈
4-(氯羰基)-哌啶-1-甲酸叔丁酯
5-溴吡唑并[1,5-a]吡啶
METHYL 3-HYDROXY-5-(TRIFLUOROMETHYL)BENZOATE
1-环丙基哌啶-2,4-二酮
N-BOC-吲哚-4-频哪醇硼酸酯
2,4-二氟-5-溴苯腈
4-氯-2-三氟甲氧基苯甲酸
2-(甲硫基)-4-氯-5-溴-6-甲基嘧啶
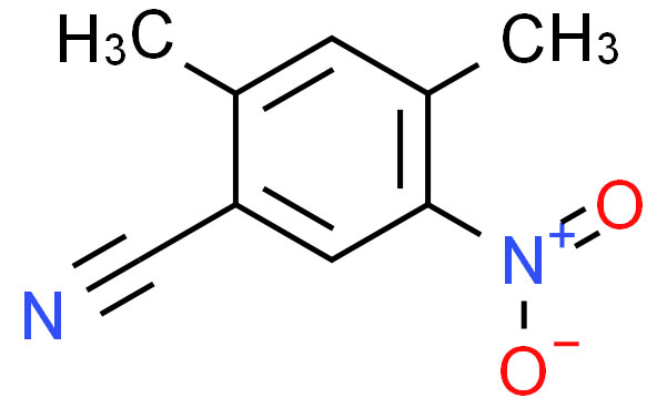
2,4-二甲基-5-硝基苯腈
(R)-4-甲基-1,3,2-二恶噻戊环2,2-二氧化物
5-溴-2-羟基-4,6-二甲基吡啶-3-甲腈
1-氯-2-甲氧基-5-甲基-4-硝基苯
2-环丙基肼羧酸叔丁酯
4-氨基-2-溴苯甲醛
版权所有 © 2023 南京毕科生物科技有限公司 苏ICP备2024061905号-1